今年济南市普通高中计划招生43991人
高中阶段招录志愿填报资格线、一分一段表及分类招生计划(不含莱芜、钢城)发布
2023年06月30日  来源:齐鲁晚报
【PDF版】
     6月29日下午,济南市教育局中招办召开2023年全市高中阶段学校招生工作第一次新闻发布会。志愿填报资格线、一分一段表和分类招生计划(不含莱芜、钢城)发布。
  据介绍,今年济南市普通高中学校招生计划共计43991人。职业院校招生计划共计39269人,其中:(1)初中后高等职业教育招生计划共计6303人。包括“3+4”高等职业教育本科计划40人,五年制高等师范教育计划230人,五年制高等职业教育计划725人,“三二”连读高等职业教育计划5308人。(2)中等职业学校招生计划共计32966人。包含中专招生计划10035人,市属技工院校招生指导计划22931人。
  普通高中志愿填报资格线为460分。“3+4”对口贯通分段培养高职志愿填报资格线为471分。五年制高等师范教育志愿填报资格线为360分。五年制高等职业教育、“三二”连读高等职业教育志愿填报资格线为180分。
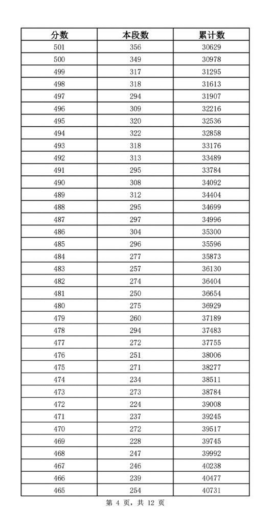
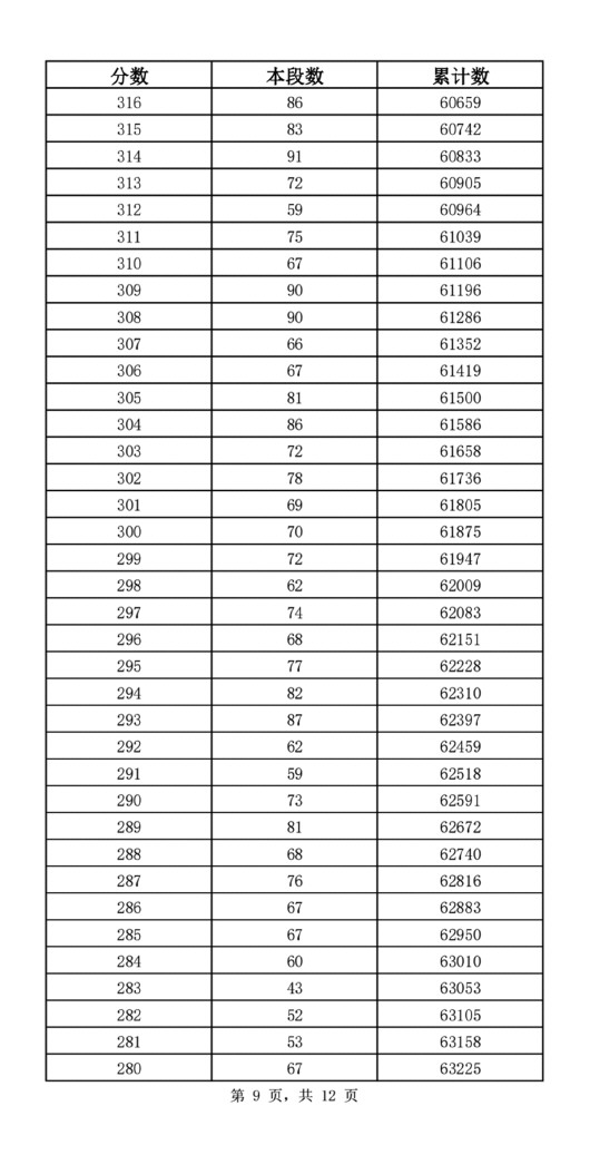
  为方便考生填报志愿,中招办在公布各类志愿填报资格线的同时,公布全市(不含莱芜区、钢城区)及市内七区(历下、市中、槐荫、天桥、历城、高新、南山)九年级学业水平考试一分一段表。
  了解更多一分一段表
请扫描二维码查看
本稿件所含文字、图片和音视频资料,版权均属齐鲁晚报所有,任何媒体、网站或个人未经授权不得转载,违者将依法追究责任。
网友为此稿件打分的平均分是:
齐鲁晚报多媒体数字版
按日期查阅
© 版权所有 齐鲁晚报
华光照排公司 提供技术服务